
Durante las campañas internas de Morena en 2023, Adán Augusto se mostró generoso con su partido, al darle 1 millón 897 mil 740 pesos como aportación, al poco tiempo de dejar su cargo como secretario de Gobernación; entretanto, el entonces presidente Andrés Manuel López Obrador, engalanando la austeridad que tanto promovió, únicamente aportó 365 pesos en efectivo al instituto político que fundó.
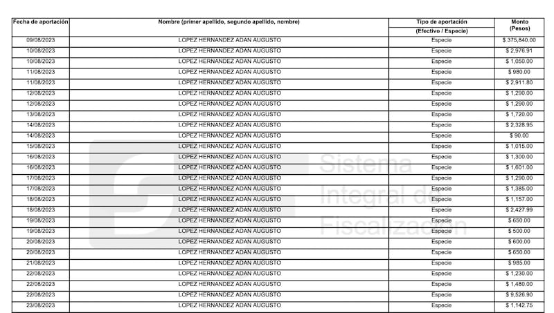
De acuerdo a documentos del Sistema Integral de Fiscalización del Instituto Nacional Electoral (INE), consultados por LA CRÓNICA DE HOY, los recursos fueron entregados por el ex gobernador de Tabasco al partido guinda en concepto de especie, a través de distintas operaciones realizadas los días del 19 al 30 de junio, además del 1 al 31 de julio, así como del 1 al 27 de agosto.
Por lo tanto, en un lapso de casi tres meses, Adán Augusto realizó múltiples aportaciones diarias a Morena, las cuales iban de cifras testimoniales, tan menores como los 90 pesos, hasta números superiores a los 100 mil pesos, como una aportación de 375 mil 840 pesos entregada al partido el 9 de agosto de 2023.
En total, el ex titular de la Segob, que renunció al cargo el 16 de junio de aquel año, para registrarse como aspirante presidencial, hizo 200 aportaciones económicas al partido guinda durante 70 días, en un promedio de 2.8 operaciones por día. En comparación, su paisano, López Obrador, hizo una aportación en todo el año, acontecida el 31 de enero, por 365 pesos en efectivo.

Morena obtuvo 2 millones 10 mil pesos de aportaciones de su militancia en 2023, de los cuales, 1.8 millones de pesos, equivalentes al 89.5 por ciento del total, provinieron de Adán Augusto, quien quedó en tercer lugar en la contienda morenista, por debajo de Marcelo Ebrard y Claudia Sheinbaum, quien resultó electa como presidenta el año siguiente.
El segundo mayor donante del partido guinda el año antepasado, fue Ricardo Monreal, quien aportó 112 mil 158 pesos en especie el 2 de noviembre de 2023, mientras que Mario Delgado y Alejandro Esquer, secretario de AMLO, hicieron una aportación en efectivo, cada uno, de 365 pesos, cifra idéntica a la del entonces titular del Ejecutivo.
Las aportaciones en especie de Adán Augusto, actualmente sumido en la polémica, bajo acusaciones de corrupción y enriquecimiento, no fueron detalladas por la autoridad electoral, pero pudo tratarse de inmuebles, vehículos, etcétera. Tampoco se detalla, si esas aportaciones, son parte de los 2.1 millones de pesos que, a mediados de agosto, declaró haber gastado en sus asambleas y recorridos por el territorio nacional.
Televisa reveló la semana pasada, que el exgobernador de Tabasco, entre 2023 y 2024, habría recibido 79 millones de pesos provenientes de empresas privadas, algunas de ellas contratistas del gobierno de Tabasco, así como empresas calificadas como “fantasmas”.
Adán Augusto aseguró que ese dinero fue declarado ante el SAT y que provino de servicios profesionales, venta de ganado, así como herencia de sus padres.
Adán Augusto prometió austeridad en campañas de 2023
Al inicio de la contienda interna de Morena en 2023, el ex gobernador de Tabasco declaró públicamente, a diferencia de sus contrincantes, que no aceptaría el financiamiento que Morena puso a disposición de las llamadas “corcholatas” (5 millones de pesos) y que prefería que esos recursos se destinaran a necesidades sociales. También dijo que los gastos de sus giras los cubriría con sus ahorros y presentó un reporte de gastos por las primeras giras.
Durante su campaña, Adán Augusto resumió el método de “construir” el movimiento con esfuerzo de piso: “suela de zapato, sudor y saliva”, y lo contrapuso a la noción de que la política o la 4T se hace con dinero.
Pese a ello, varias crónicas documentaron que, pese a su rechazo al financiamiento y su discurso de austeridad, en al menos un mitin en Guadalajara hubo reportes de operadores repartiendo dinero a asistentes, lo que generó cuestionamientos sobre coherencia y origen de recursos. El tabasqueño negó, sin embargo, ser responsable directo de esos repartos.
El diario español El País publicó este jueves que Adán Augusto gastó 12 millones de pesos solo en anuncios espectaculares, superando por más del doble los 5 millones de pesos que Morena fijó como tope de gastos, pese a que él aseguró sólo haber erogado 2.1 millones de sus propios ahorros.